预存
    Document
    当前位置:文库百科文章详情
    「科研干货」了解凝胶色谱仪(GPC)从这里开始,快来GET吧!
    来源:计算GO 时间:2019-06-04 16:44:21 浏览:11165次

    本文由测试狗原创

    【简介】

    凝胶色谱法(Gel Permeation Chromatography,GPC)是一种新型的液体色谱,又名体积排除色谱(Size Exclusion Chromatography,SEC)、凝胶过滤色谱(GelFiltration Chromatography,GFC),是液相色谱的一个分支,是高聚物表征的重要方法之一。

    1964年由J.C.Moore首先研究成功在总结前人经验的基础上,结合大网状结构离子交换树脂制备的经验,将高交联度聚苯乙烯凝胶用作柱填料,同时配以连续式高灵敏度的示差折光仪,制成了快速且自动化的高聚物分子量及分子量分布的测定仪,从而创立了液相色谱中的凝胶渗透色谱技术。

    【特点及应用领域】

    操作简便快捷、进样量小、数据可靠且重现性好、自动化程度高等。

    主要应用于聚合物分子量及其分布、聚合物的支化度、共聚物及共混物的组成、聚合物分级及其结构分析等。适于分析水溶液中的多肽、蛋白质、生物酶等生物分子。

    【基本原理】

    当被分析的试样随着淋洗溶剂引入柱子后,溶质分子即向填料内部孔洞扩散。较小的分子除了能进入大的孔外,还能进入较小的孔;较大分子则只能进入较大的孔;而比最大的孔径还要大的分子就只能留在填料颗粒之间的空隙中。因此,随着溶剂的淋洗,大小不同的分子就得到分离,较大的分子先被淋洗出来,较小的分子较晚被淋洗出来

    只依据尺寸大小分离,大组分最先被洗提出

    直径小于孔径的组分进入凝胶孔道

    依据尺寸差异,样品组分分离

    图1 GPC的分离原理

    【GPC工作流程】

    GPC仪器主要由输液系统(柱塞泵)进样器色谱柱检测系统示差折光检测器、多波长UV、FTIR等)及数据采集与处理系统

    图2 GPC仪器

    【载体和色谱柱】

    载体是GPC产生分离作用的关键

    GPC仪器对载体的要求:

    1. 良好的化学稳定性和热稳定性;

    2. 有一定的机械强度;

    3. 不易变形;

    4. 流动阻力小;

    5. 对试样没有吸附作用;

    6. 分离范围越大越好(取决于孔径分布)等;

    7. 载体的粒度愈小,愈均匀,堆积的愈紧密,色谱柱分离效率愈高。

    GPC载体的种类:

    1. 交联聚苯乙烯凝胶

    2. 多孔性玻璃

    3. 聚乙酸乙烯酯凝胶及聚丙烯酰胺凝胶

    4. 木质素凝胶等

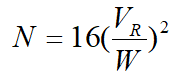
    评价色谱柱性能的两个重要参数

    柱效率N:可用“理论塔板数”N进行描述。淋洗体积VR,峰底宽W,然后按照下式进行计算N:

    对于相同长度的色谱柱,N值越大,意味着柱效率越高。

    分离度RV1,V2分别为对应于样品1和样品2的两个峰值的淋洗体积;W1,W2分别为峰1和峰2的峰底宽。

    显然,若两个样品达到完全分离,R应等于或大于1,如果R小于1,则分离是不完全的。

    【GPC测定聚合物分子量】

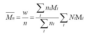
    聚合物分子量:统计平均分子量

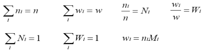
    假定在某一高分子试样中含有若干中分子量不等的分子,该试样的总质量为w,总摩尔数为n,种类数用i表示,第i种分子的分子量为Mi,摩尔为ni,重量为wi,在整个试样中的重量分数为Wi,摩尔分数为Ni,则这些量之间存在下列关系:     

    数均分子量:以数量为统计权重

    重均分子量:以重量为统计权重

    Z均分子量:以Z值为统计权重

    粘均分子量:用稀溶液粘度法测得的平均分子量

    分子量比较

    GPC谱图

    图3 典型高分子的GPC谱图

    检测器信号H:比例于淋出液的浓度;

    保留体积(淋出体积):分子尺寸的大小,Ve换算成分子量M,即为分子量分布曲线。

    分子量-淋出体积标定曲线

    根据GPC分离机理,保留体积(或淋出体积)Ve与分子量之间有线性关系

    logM=A-BVe

    式中:A和B为常数,其值与溶质、溶剂、温度、载体及仪器结构有关,可由分子量-淋出体积曲线的直线段的截距和斜率求出。

    首先测定一组分子量不同的单分散或窄分布样品(已用其它方法精确确定了分子量)的淋出体积和分子量的GPC谱图(图A),然后以logM对Ve作图得到反S形工作曲线(图B)。工作曲线中间的直线部分就是标定曲线。

    图4 已知分子量的窄分布样品的GPC谱图(左);GPC的标准曲线(右)。

    分子量-淋出体积普适标定曲线

    实际上,对大多数聚合物很难获得窄分布标准样品,由容易获得的阴离子聚合的聚苯乙烯(Mw/Mn<1.1)测得的校准曲线,也不能直接用于其他高分子,因为不同高分子尽管分子量相同,但体积却不一样。因而必须寻找一个分子结构参数代替分子量,希望用这一参数求出的标定关系对所有高分子普遍适用,称为普适标定

    根据爱因斯坦(Einstein)公式

    图5 GPC普适校准曲线

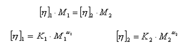
    若已知一种聚合物的M1,只须简单计算,就能得到同一保留体积的另一种聚合物的M2

    式中K、α――对每一特定高分子-溶剂体系是常数。将此两式代入上式,并整理后得到





    评论 / 文明上网理性发言
    12条评论
    全部评论 / 我的评论
    最热 /  最新
    全部 3小时前 四川
    文字是人类用符号记录表达信息以传之久远的方式和工具。现代文字大多是记录语言的工具。人类往往先有口头的语言后产生书面文字,很多小语种,有语言但没有文字。文字的不同体现了国家和民族的书面表达的方式和思维不同。文字使人类进入有历史记录的文明社会。
    点赞12
    回复
    全部
    查看更多评论
    相关文章

    基础理论丨一文了解XPS(概念、定性定量分析、分析方法、谱线结构)

    2020-05-03

    手把手教你用ChemDraw 画化学结构式:基础篇

    2021-06-19

    晶体结构可视化软件 VESTA使用教程(下篇)

    2021-01-22

    【科研干货】电化学表征:循环伏安法详解(上)

    2019-10-25

    【科研干货】电化学表征:循环伏安法详解(下)

    2019-10-25

    XRD的基本原理与应用

    2020-11-03

    热门文章/popular

    基础理论丨一文了解XPS(概念、定性定量分析、分析方法、谱线结构)

    手把手教你用ChemDraw 画化学结构式:基础篇

    晶体结构可视化软件 VESTA使用教程(下篇)

    电化学实验基础之电化学工作站篇 (二)三电极和两电极体系的搭建 和测试

    【科研干货】电化学表征:循环伏安法详解(上)

    【科研干货】电化学表征:循环伏安法详解(下)

    微信扫码分享文章
    +

    你好,很高兴为您服务!

    发送